logo-blanc
  • Contactez-nous
  • Formations
  • Espace Extranet
Espace Extranet
menu
  • Date de dernière mise à jour: samedi 18 avril 2026
  • Nombre de vues: 541

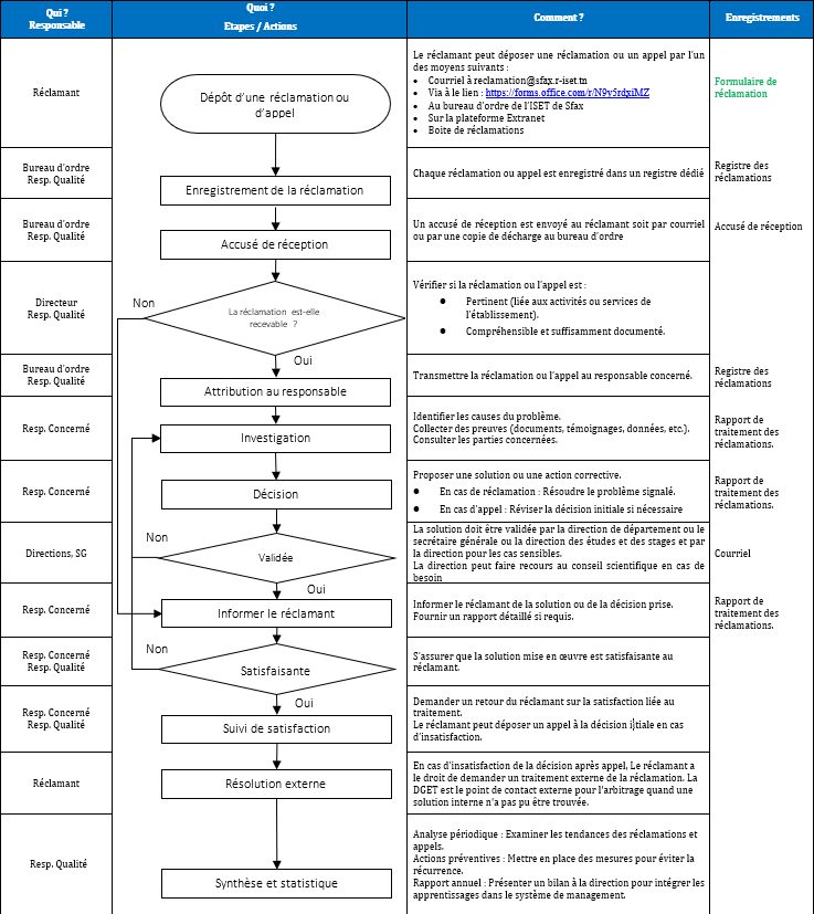
Traitement des Réclamations

  • Management Qualité
  • Traitement des Réclamations

Management Qualité

  • Démarche Qualité
  • Politique Qualité
  • Responsabilité Sociétale
  • Plan Stratégique
  • Traitement des Réclamations
  • Cellule de Suivi et de Veille « CSV »
  • Accréditation
  • Lutte contre le Plagiat
  • Loi, décret , Charte et Règlementation
  • Recevez les dernières mises à jour et offres.
    S'abonner
    Route de Mahdia Km 2.5 BP 88 A - 3099 Sfax
    (+216) 74 431 425
    (+216) 74 431 673
    iset.sfax@sfax.r-iset.tn
    Institut
    • Message du Directeur
    • Organigramme
    • Conseil Scientifique et Technologique
    • Galerie des photos
    Etudiants
    • Formation
    • Clubs
    • Manifestations
    • Inscription à distance
    Entreprise
    • Demande de Compte Professionnel
    • Visites Industrielles
    • Centre de Recherche Technologique CRT
    • Partenariat et Transfert Technologique
    ISET SFAX est Certifié ISO 9001 et ISO 21001
    Enseignants Etudiants Téléchargement Annuaire
    Accès à l’information Plan de site Liens utiles Contact
    Iset Sfax
    Fermer
  • Actualités
    • Archives des annonces
    • Appels d’offres et consultations
    • Découvrez les formations assurées par l'ISET de Sfax d’offres et Consultations
    • Manifestations
    • Partenaires Académiques
    • Partenaires Professionnels
  • Institut
    • Message du Directeur
    • Présentation
    • Organigramme
    • Conseil Scientifique et Technologique
    • Départements
      • Sc. Eco. et Gestion
      • Technologies de l'Informatique
      • Génie des Procédés
      • Génie Civil
      • Génie Mécanique
    • Associations
      • Association de l'Innovation et la Technologie « AIT »
      • Association de Recherche et Développement et d'Innovation « ARDI »
      • Association Sportive Universitaire Iset de Sfax « ASUIS »
      • Association Tunisienne de Soudage « ATS »
    • Accès à l’Information
    • Manifestations
    • Galerie Photos
    • Galerie vidéo
  • Formation
    • Organigramme de Formation
    • Calendrier Académique
    • Le système LMD en Tunisie
    • Licence Nationale
      • Sciences Economiques et de Gestion
        • Comptabilité & Finances
        • Management
        • Commerce & Distribution
      • Technologie de l’Informatique
      • Génie des Procédés
      • Génie Civil
      • Génie Mécanique
    • Mastère Professionnel
      • Administration des Systèmes, Sécurité et Cloud Computing(ASSCC)
      • Développement des Systèmes Informatiques et Réseaux (DSIR)
      • Instrumentation des Processus et Procédés Industriels (IPPI)
      • Innovation et Supply Chain Management (ISCM)
      • Management Intégré Qualité Sécurité, Santé au travail et environnement (MIQSSE)
    • Formation Continue à distance
      • Licence Nationale
        • Technologie de l’Informatique
      • Mastère Professionnel
        • Développement des Systèmes Informatiques et Réseaux (DSIR)
        • Innovation et Supply Chain Management (ISCM)
    • Lauréats
    • Candidature en Mastère Professionnel
  • Management Qualité
    • Démarche Qualité
    • Politique Qualité
    • Responsabilité Sociétale
    • Plan Stratégique
    • Traitement des Réclamations
    • Cellule de Suivi et de Veille « CSV »
    • Accréditation
    • Lutte contre le Plagiat
    • Loi, décret , Charte et Règlementation
  • Projets et partenariats
    • PAQ
      • PAQ DGSE
        • Présentation du projet
        • Domaine 1 : Gestion et Gouvernance
        • Domaine 2 : Formation-Employabilité
        • Domaine 3 : Recherche et Innovation
        • Domaine 4 : Vie Universitaire
      • PAQ CoCo ISCM
        • Présentation du projet
        • Creativity Lab
      • PAQ 4C
      • PAQ PRICE
      • PAQ POST-PFE
      • PAQ licence Co-Construction en Plasturgie et Développement Durable
    • Erasmus
    • Partenariats et coopérations
  • Entreprises
    • Demande de Compte Professionnel
    • Visites Industrielles
    • Centre de Recherche Technologique CRT
      • Expertise & Prestations
      • Formations
    • Partenariat et Transfert Technologique
  • Vie Universitaire
    • Scolarité
      • Procédure d'Inscription
      • Procédure de Mutation
      • Procédure Réorientation
      • Procédure de Retrait d'Inscription
      • Procédure d'Obtention des Diplômes
      • Demande d'Attestations
      • Demande de Condition Spécifique
    • Stages
      • Initiation
      • Perfectionnement
      • Fin d’Etudes
    • Formations Certifiantes
      • MICROSOFT
      • SOLIDWORKS
    • Clubs
    • Activité sportive
    • Activités Culturelles
    • Manifestations Estudiantines
    • Bibliothèque
    • Cellule d’Ecoute
    • Etudiant Entrepreneur
    • Hébergement et Restauration Universitaire
  • Centre 4C
    • Présentation
    • Formations Certifiantes
    • Plan d’Activités
    • Etudiant Entrepreneur
  • Contact
  • Espace Extranet
    Nos Projets
    Accès à l’information